MSAIL 8550 exhibits excellent synergistic antioxidant effects with aromatic amine antioxidants.
MSAIL 8550 effectively controls the oxidative degradation of lubricating oils, reducing the formation of high-temperature deposit
MSAIL 8550 synergizes with sulfur-containing additives, significantly enhancing the anti-friction and anti-wear properties of lubricating oils.
MSAIL 8550 improves the anti-friction properties of lubricating oils and maintains this performance after oxidation
A demulsifier is a special type of surfactant whose main function is to destroy the stability of emulsions, enabling the separation of different phases that were originally mixed together. In an emuls
Paraffin wax, a naturally occurring component of crude oil composed of straight-chain alkanes (C18-C64), presents one of the most persistent flow assurance challenges in hydrocarbon production. The cr
In a wind power generation system, the wind turbine gearbox, as a core transmission component, plays a key role in converting the low-speed and high-torque output of the wind rotor into the high-speed
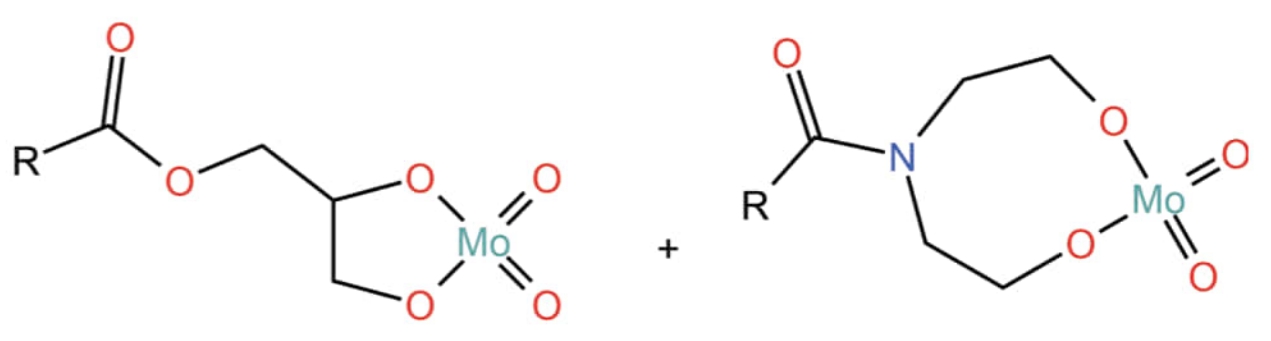
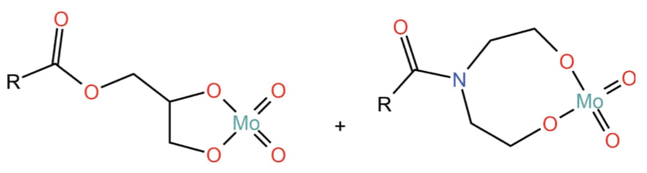
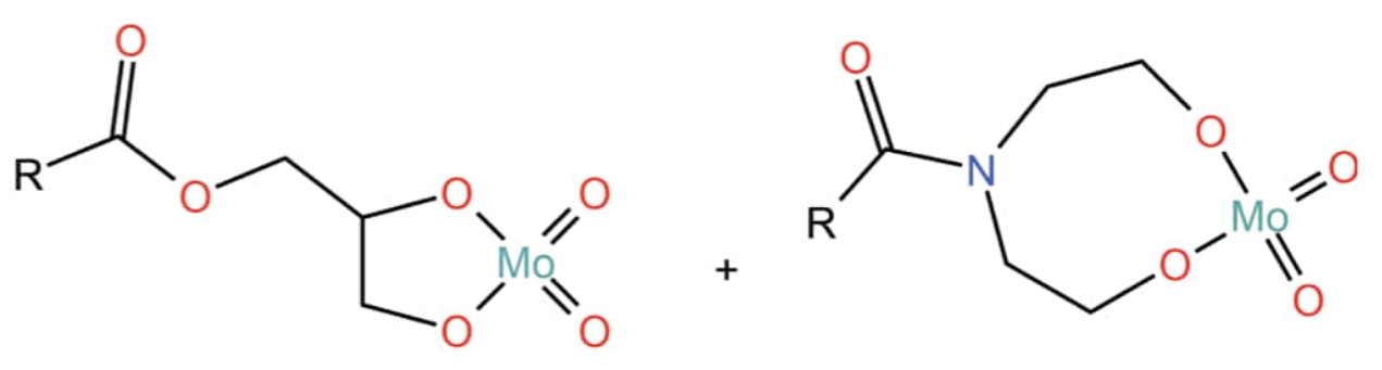
DMTD-8 is a high-performance, ash-free metal deactivator known for its exceptional extreme pressure (EP) performance, auxiliary antioxidant properties, and superior corrosion inhibition.
TPPT is a ashless EP and AW additive for lubricants, grease and hydraulic fluids.










MSAIL 8550 demonstrates outstanding performance in CVJ grease
MSAIL 8550 demonstrates outstanding performance in CVJ grease.